Номер 129 - ГДЗ Алгебра 7 класс. Мерзляк, Полонский. Учебник. Страница 26

Вернуться к содержанию учебника

Страница 26

126 127 128 129 130 131 132

Вопрос

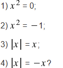
Имеет ли корни уравнение:

В случае утвердительного ответа укажите их.

Подсказка

Ответ


Вернуться к содержанию учебника