Номер 125 - ГДЗ Алгебра 7 класс. Мерзляк, Полонский. Учебник. Страница 25

Вернуться к содержанию учебника

Страница 25

122 123 124 125 126 127 128

Вопрос

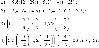
Вычислите значение выражения:

Подсказка

Ответ


Вернуться к содержанию учебника