Номер 792 - ГДЗ Алгебра 8 класс. Мерзляк, Полонский. Учебник. Страница 192

Вернуться к содержанию учебника

Упражнения §23. Страница 192

789 790 791 792 793 794 795

Вопрос

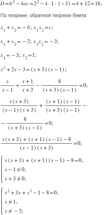
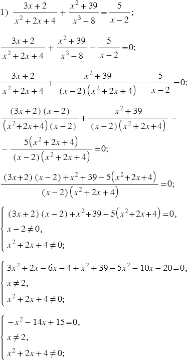
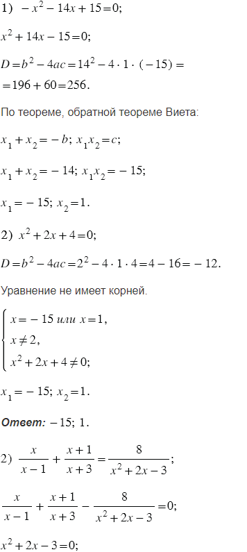
Решите уравнение:

Подсказка

Ответ


Вернуться к содержанию учебника