Номер 23 - ГДЗ Алгебра 8 класс. Мерзляк, Полонский. Учебник. Страница 9

Вернуться к содержанию учебника

Упражнения § 1. Страница 9

20 21 22 23 24 25 26

Вопрос

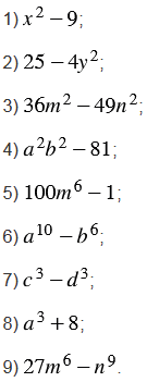
Разложите на множители:

Подсказка

Вспомните:

  1. Формула разности квадратов двух выражений.
  2. Какие выражения называют тождественно равными.
  3. Степень с натуральным показателем.
  4. Свойства степени с натуральным показателем.
  5. Формулы суммы и разности кубов двух выражений.
  6. Что называют многочленом.

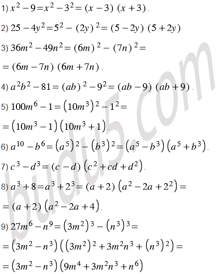
Ответ


Вернуться к содержанию учебника