Вернуться к содержанию учебника
Страница 184
926 927 928 929 930 931 932 933 934 935 936
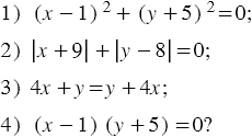
Что представляет собой график уравнения:
Вспомните: