Вернуться к содержанию учебника
Страница 106
588 589 590 591 592 593 594 595 596 597 598
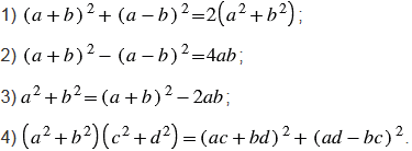
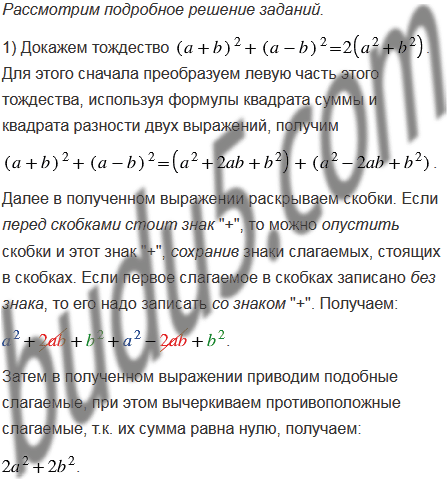
Докажите тождество:
Вспомните: