Задание 1077 - ГДЗ Геометрия 7-9 класс. Атанасян. Учебник. Страница 269

Старая и новая редакции

Вернуться к содержанию учебника

1075 1076 1077 1077 1078 1079 1080

Вопрос

Выберите год учебника

№1077 учебника 2013-2022 (стр. 269):

Докажите, что коэффициент подобия двух подобных треугольников равен отношению радиусов окружностей:

а) описанных около треугольников;

б) вписанных в эти треугольники.


№1077 учебника 2023-2024 (стр. 269):

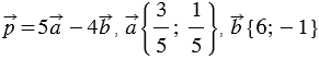
Найдите координаты вектора и его длину, если:

а) ;

б) ;

в) ;

г) .

Подсказка

№1077 учебника 2013-2022 (стр. 269):

Вспомните:

  1. Что такое треугольник.
  2. Какие треугольники называются подобными.
  3. Какая окружность называется вписанной, какая описанной.
  4. Первый признак подобия треугольников.
  5. Отношение площадей подобных треугольников.
  6. Свойство касательных.
  7. Что такое высота треугольника.
  8. Как найти площадь треугольника.

№1077 учебника 2023-2024 (стр. 269):

Вспомните:

  1. Что такое вектор, его длина.
  2. Координаты вектора.
  3. Как найти длину вектора, зная его координаты.

Ответ

№1077 учебника 2013-2022 (стр. 269):


№1077 учебника 2023-2024 (стр. 269):


Вернуться к содержанию учебника