Вернуться к содержанию учебника
Выберите год учебника
Стр. 103 учебника 2011-2022:
1. 1) Объясни, как построена точка В (рис.1), симметричная точке А, относительно оси симметрии, проведенной красным.

2) Выполни в тетради такой чертеж (рис. 2). Построй отрезок, симметричный отрезку АС, относительно оси симметрии, проведенной красным. Обозначь его буквами.

3) Выполни в тетради такой чертеж (рис. 3) Построй треугольник, симметричный треугольнику АВС, относительно оси симметрии, проведенной красным. Обозначь его буквами.

Стр. 103 учебника 2023-2024:
1. Какие числа пропущены?
20 + + 69 = 100 | ( + 92) : 1 = 98 |
70 - 35 - = 25 | (36 + 14) • ![]() |
7 • • 2 : 4 = 7 | 8 • 6 : = 1 |
Стр. 103 учебника 2011-2022:
Ось симметрии фигуры - это прямая, которая делит фигуру на две симметричные части (если по этой прямой перегнуть фигуру, то ее части наложатся друг на друга).
Стр. 103 учебника 2023-2024:
Вспомни порядок выполнения действий при нахождении значения числовых выражений со скобками и без них.
Если число разделить на 1, получится то же самое число.
Если число разделить само на себя, то получится 1.
Если число умножить на 0, получится 0.
Стр. 103 учебника 2011-2022:
2) 
3) 
Пояснение
1) Чтобы построить точку В, симметричную точке А относительно оси симметрии, проведенной красным, используем чертежный угольник. Для этого прикладываем угольник так, чтобы одна из его сторон, образующих прямой угол, лежала вдоль оси симметрии, а другая лежала вдоль точки А. Проводим через точку А прямую вдоль стороны угольника, которая пересечет ось симметрии в точке К. Далее измеряем длину отрезка КА и откладываем отрезок такой же длины от точки К с другой стороны от оси симметрии, отмечаем точку В.
2) По алгоритму, приведенному в первом пункте строим точки В и К, симметричные точкам А и С соответственно относительно оси симметрии, проведенной красным. Затем соединяем точки В и К и получаем отрезок ВК, симметричный отрезку АС, относительно оси симметрии, проведенной красным.

3) По алгоритму, приведенному в первом пункте строим точки М, О и Р, симметричные точкам А, В и С соответственно относительно оси симметрии, проведенной красным. Затем соединяем точки М и О, О и Р, М и Р и получаем треугольник МОР, симметричный треугольнику АВС, относительно оси симметрии, проведенной красным.

Стр. 103 учебника 2023-2024:
Вариант ответа #1:
Решение

Пояснение
| 20 + 11 + 69 = 100 20 + 69 = 89 100 - 89 = 11 Пропущено число 11. | (6 + 92) : 1 = 98 : 1 = 98 |
| 70 - 35 - 10 = 70 - 35 = 35 35 - 25 = 10 Пропущено число 10. | (36 + 14) • 0 = 0 не считаю, потому что умножить на 0 |
| 7 • 2 • 2 : 4 = 7 14 • 2 : 4 = 28 : 4 = 7 | 8 • 6 : 48 = 48 : 48 = 1 |
Вариант ответа #2:
| 20 + 11 + 69 = 100 | (6 + 92) : 1 = 98 |
| 70 - 35 - 10 = 25 | (36 + 14) • 0 = 0 |
| 7 • 2 • 2 : 4 = 7 | 8 • 6 : 48 = 1 |
Пояснение
| 20 + 11 + 69 = 31 + 69 = 100 | (6 + 92) : 1 = 98 : 1 = 98 |
| 70 - 35 - 10 = 35 - 10 = 25 | (36 + 14) • 0 = 0 не считаю, потому что умножить на 0 |
| 7 • 2 • 2 : 4 = 14 • 2 : 4 = 28 : 4 = 7 | 8 • 6 : 48 = 48 : 48 = 1 |
Выберите год учебника
Стр. 103 учебника 2011-2022:
Вариант вопроса #1:
Выполни в тетради такой чертеж (рис. 4). Построй четырехугольник, симметричный четырехугольнику АВCD, относительно оси симметрии, проведенной красным. Обозначь его буквами.

Вариант вопроса #2:
2. Найди массу одного котёнка и одной кошки.

Сравни оба взвешивания: почему на вторых весах масса уменьшилась на 2 кг?
На сколько килограммов кошка тяжелее котёнка?
Как узнать массу одного котёнка?
Кто тяжелее: 10 котят или 5 кошек?
Стр. 103 учебника 2023-2024:
2. В свободных клетках квадрата 1 размести ещё числа 3, 4, 5, 6, 9 так, чтобы получить магический квадрат.

Стр. 103 учебника 2011-2022:
Вариант подсказки #1:
Ось симметрии фигуры - это прямая, которая делит фигуру на две симметричные части (если по этой прямой перегнуть фигуру, то ее части наложатся друг на друга).
Вариант подсказки #2:
Тяжелее, значит, больше.
Повтори материал о единицах массы.
Стр. 103 учебника 2023-2024:
Сложи числа в каждом квадрате по строкам, по столбцам, из угла в угол. Если суммы равны, то такой квадрат называется магическим.
Стр. 103 учебника 2011-2022:
Вариант ответа #1:

Пояснение
Чтобы построить четырехугольник, симметричный четырехугольнику АВСD, относительно оси симметрии, проведенной красным, сначала построим точки, симметричные точкам А, В, С и D, относительно оси симметрии, проведенной красным.
Построим точку М, симметричную точке А, относительно оси симметрии, проведенной красным, используем чертежный угольник. Прикладываем угольник так, чтобы одна из его сторон, образующих прямой угол, лежала вдоль оси симметрии, а другая лежала вдоль точки А. Проводим через точку А прямую вдоль стороны угольника, которая пересечет ось симметрии в точке К. Далее измеряем длину отрезка КА и откладываем отрезок такой же длины от точки К с другой стороны от оси симметрии, отмечаем точку М.

По такому же алгоритму, строим точки, симметричные точкам В, С и D, относительно оси симметрии, проведенной красным.

Относительно оси симметрии, проведенной красным, точке А симметрична точка М, точке В симметрична точка Е, точке С симметрична точка Р, точке D симметрична точка О.
Далее соединяем друг за другом точки М, Е, Р, О, М и получаем четырехугольник МЕРО, симметричный четырехугольнику АВСD, относительно оси симметрии, проведенной красным.

Вариант ответа #2:
Задание 1:
Масса уменьшилась на 2 кг, потому что вместо большой кошки на весы посадили маленького котёнка, чья масса легче большой кошки.
Задание 2:
Когда вместо большой кошки на весы поставили маленького котёнка, масса уменьшилась на 2 кг, значит, кошка тяжелее котёнка на 2 кг.
Задание 3:
Рассматриваю второй рисунок.

Мы знаем, что большая кошка тяжелее маленького котёнка на 2 кг. Значит, если 3 больших кошки я заменю на 3 маленьких котёнка, то масса всех котят станет меньше на 6 кг, потому что
2 • 3 = 6 (кг)
Тогда масса 7 маленьких котят будет равна 7 кг, потому что 13 - 6 = 7 (кг)
Нахожу массу одного котёнка 7 : 7 = 1 (кг)
Ответ: масса 1 котёнка равна 1 кг.
Задание 4:
Масса 1 котёнка равна 1 кг.
Тогда масса большой кошки равна 3 кг, потому что 1 +2 = 3 (кг)
Масса 10 котят: 1 • 10 = 10 (кг)
Масса 5 больших кошек: 3 • 5 = 15 (кг)
15 кг > 10 кг
Значит, масса 5 кошек больше, чем масса 10 маленьких котят.
Стр. 103 учебника 2023-2024:
Решение

Пояснение
Все суммы равны 21.
По строкам:
10 + 3 + 8 =13 + 8 = 21
5 + 7 + 9 = 12 + 9 = 21
6 + 11 + 4 = 17 + 4 = 21
По столбцам:
10 + 5 + 6 = 15 + 6 = 21
3 + 7 + 11 = 10 + 11 = 21
8 + 9 + 4 = 17 + 4 = 21
Из угла в угол:
10 + 7 + 4 = 17 + 4 = 21
6 + 7 + 8 = 13 + 8 = 21
Выберите год учебника
Стр. 103 учебника 2011-2022:
3. На одной чаше весов — 6 одинаковых по массе цыплят и 3 одинаковых по массе утёнка. На другой чаше весов — 3 таких цыплёнка и 5 таких же утят. Весы находятся в равновесии. Кто легче: утёнок или цыплёнок?
Сделай схематический рисунок и реши задачу.
Стр. 103 учебника 2023-2024:
3. Оставляя на местах числа 13, 15 и 5 в квадрате 2, расставь в его пустые клетки числа 3, 7, 9, 11, 17, 19 так, чтобы получить магический квадрат.

Стр. 103 учебника 2011-2022:
Легче, значит, меньше.
Повтори материал о единицах массы.
Стр. 103 учебника 2023-2024:
Сложи числа в каждом квадрате по строкам, по столбцам, из угла в угол. Если суммы равны, то такой квадрат называется магическим.
Стр. 103 учебника 2011-2022:

Пояснение
Делаю схематичный рисунок. Красный кружок - цыплёнок, синий кружок - утёнок.

Вычеркиваю на каждой чаше весов одинаковые кружки (красный с красным, синий с синим) пока одинаковые пары кружков не закончатся.

На схематическом рисунке вижу, что масса 3 цыплят равна массе 2 утят:

Получается, учитывая то, что весы находятся в равновесии, 1 цыплёнок легче, чем утёнок.
Стр. 103 учебника 2023-2024:
Решение

Пояснение
Все суммы равны 33.
По строкам:
17 + 7 + 9 = 24 + 9 = 33
3 + 11 + 19 = 14 + 19 = 33
13 + 15 + 5 = 28 + 5 = 33
По столбцам:
17 + 3 + 13 = 20 + 13 = 33
7 + 11 + 15 = 18 + 15 = 33
9 + 19 + 5 = 28 + 5 = 33
Из угла в угол:
17 + 11 + 5 = 28 + 5 = 33
13 + 11 + 9 = 24 + 9 = 33
4. Используя знаки действий и, если надо, скобки, запиши число 10 четырьмя тройками.
Повтори случаи табличного умножения на 3.
Вариант ответа #1:
Решение

Пояснение
1) 3 : 3 + 3 • 3 = 1 + 9 = 10
2) 3 • 3 + 3 : 3 = 9 + 1 = 10
3) (33 - 3) : 3 = 30 : 3 = 10
Вариант ответа #2:
Решение
1) 3 : 3 + 3 • 3 = 10
2) 3 • 3 + 3 : 3 = 10
3) (33 - 3) : 3 = 10
Пояснение
1) 3 : 3 + 3 • 3 = 1 + 9 = 10
2) 3 • 3 + 3 : 3 = 9 + 1 = 10
3) (33 - 3) : 3 = 30 : 3 = 10
5. Два одинаковых пакета молока и пачка творога стоят 94 р. Две такие же пачки творога и один такой же пакет молока стоят 80 р. На сколько рублей один пакет молока дороже одной пачки творога?
Запиши только ответ.
Решение
На 14 рублей 1 пачка молока дороже, чем 1 пачка творога.
Пояснение
Составляю схему по условию задачи:

М - пакет молока, Т - пачка творога.
Зачёркиваю одинаковые пачки молока и творога:

Осталась 1 пачка молока и одна пачка творога, а разница в стоимости покупки всего 14 рублей:

Значит, на 14 рублей 1 пачка молока дороже, чем 1 пачка творога.
6. Начерти прямоугольник с периметром 12 см и с наибольшей площадью.
Периметр многоугольника - это сумма длин всех его сторон. У квадрата все стороны равны, поэтому мы можем длину умножить на 4 и вычислить периметр.
Вариант ответа #1:

Пояснение
Периметр прямоугольника равен сумме двух его соседних сторон, умноженных на 2.
По условию периметр прямоугольника 12 см, значит, сумма двух его сторон:
12 : 2 = 6 (см).
6 = 1 + 5 или 6 = 2 + 4 или 6 = 3 + 3.
Площадь прямоугольника равна произведению двух его соседних сторон.
Площадь прямоугольника со сторонами 1 см и 5 см равна:
1 • 5 = 5 (см2).
Площадь прямоугольника со сторонами 2 см и 4 см равна:
2 • 4 = 8 (см2).
Площадь прямоугольника со сторонами 3 см и 3 см равна:
3 • 3 = 9 (см2).
Получается, большая площадь будет у прямоугольника, который является квадратом со стороной 3 см.
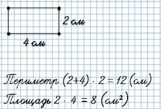
Вариант ответа #2:
Решение

Пояснение
Периметр 12 см может быть у квадрата со стороной 3 см:

В таком случае площадь квадрата будет 9 см².
Периметр 12 см может быть и у прямоугольника со сторонами 2 и 4 см:

Тогда площадь такого прямоугольника будет 8 см², то есть МЕНЬШЕ, чем площадь квадрата, а во условию задачи мы должны начертить прямоугольник с НАИБОЛЬШЕЙ площадью.
7. Ленту разрезали на 3 части, затем одну из этих частей разрезали ещё на 4 части. На сколько всего частей разрезали ленту? Сколько сделали разрезов?
Внимательно прочитай задание и выполни его.
Вернуться к содержанию учебника